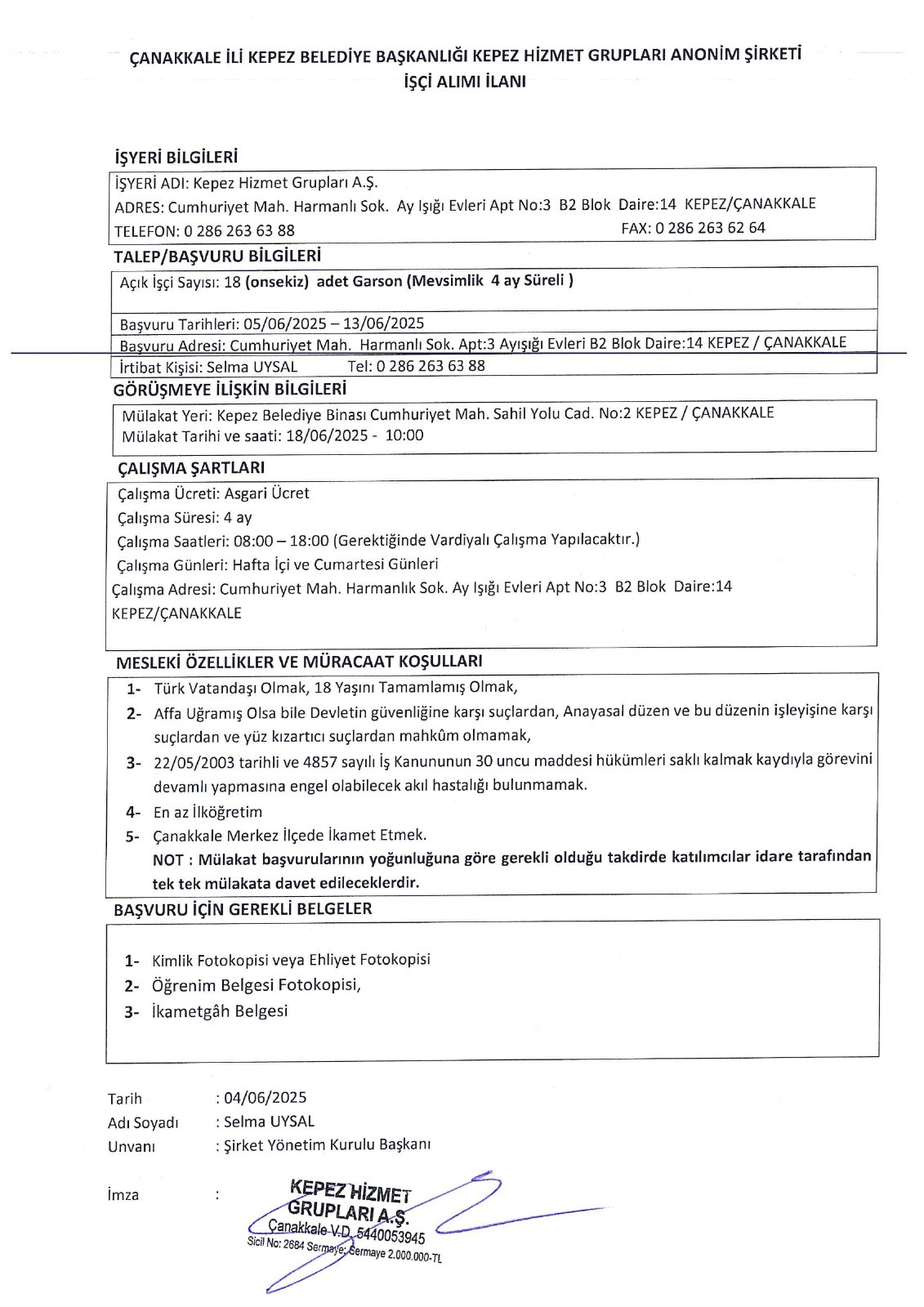
Kepez Hizmet Grupları 21 İşçi Alacak
Kepez Hizmet Grupları 21 İşçi Alacak
KENT YAŞAM
Yayın: 06 Haziran 2025 - Cuma - Güncelleme: 06.06.2025 13:40:00
Editör -
Okuma Süresi: 6 sn.

Kepez Hizmet Grupları 21 İşçi Alacak. Son başvuru tarihi 13 haziran 2025
Ek Fotoğraflar



Yorumlar (0)






